RussianNew York Homepage
Руссике артисты на Американской сценеРусские концерты на Американской сцене
  News   Events   Dating   Classifieds   Forum   Chat   YP   TV/Video    Photos 
 News Central
В мире
  Политика
  Разное
Бизнес
  Деньги
Общество
  Мода
  Религия
  Светская жизнь
  Шоу Бизнес
  Пикантные новости
  Животные
  Криминал
Спорт
Искусство
  Кино
  Музыка
Авто
Hi-Tech
  Интернет
  Hardware
  SoftNews
Здоровье
Путешествия
Вокруг света
USA
Россия
  
Ресурсы
  Самые последние
  Самые читаемые
Архив
 Другие ресурсы
Все Ресурсы

Рассылки
Газеты
Журналы
ТВ - Online
Радио

Юмор
  Анекдоты
  Игры
  Этикетки
  
Открытки
  Поздравь друга
  
Программа TV
Кино
  Новости кино
  Кинообзоры
  
Музыка
  Радио в internet
  Russian Top
  
Спорт
Web Обзоры Exler.ru
  
Читальный зал
ЭКСпромт - статьи для чайников
Компьютерные игры
Finance News
Автообзоры
Russian America Journal Digest
 Смотрите также
Yellow Pages
Объявления
Чат
Форум
  последнее

Читальный зал
  Стихи
  Проза
  Кулинария

Едем в Америку!
  Иммиграция
  Визы
  Советы

Знакомства
Фотоальбомы
Top Rating
  America TOP
  
 
NEWS CENTRAL >> Hi-Tech

Hi-Tech

Физики осуществили самую точную проверку релятивистского замедления времени
2:21PM Wednesday, Nov 14, 2007
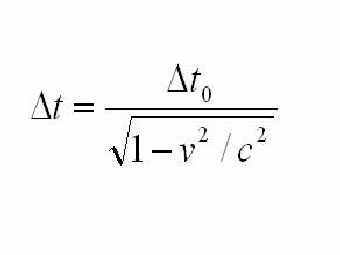
Формула, описывающая релятивистское замедление времени: дельта t0 - время, проходящее между двумя событиями, для неподвижного наблюдателя, дельта t - время, проходящее между теми же двумя событиями для объекта, движущегося со скоростью v. c - скорость света.

Формула, описывающая релятивистское замедление времени: дельта t0 - время, проходящее между двумя событиями, для неподвижного наблюдателя, дельта t - время, проходящее между теми же двумя событиями для объекта, движущегося со скоростью v. c - скорость света.
Физики проверили точность, с которой специальная теория относительности (СТО) Эйнштейна предсказывает релятивистское замедление времени. Эксперимент - самый точный из проводившихся когда-либо в этой области - показал, что погрешность составляет менее одной десятимиллионной, сообщает журнал Science.

Эффект релятивистского замедления времени можно описать примерно следующим образом: представим себе, что наблюдатель А неподвижен, а наблюдатель Б движется относительного него. С точки зрения наблюдателя А, часы наблюдателя Б идут медленнее, чем его собственные часы.

Замедление времени начинает становиться значительным только при скоростях, сравнимых со скоростью света (см. иллюстрацию: при малых скоростях знаменатель дроби практически равен единице).

Именно на этом основано знаменитое предположение, что для астронавтов, совершающих гипотетическое космическое путешествие с огромной скоростью, время идет гораздо медленнее, чем для тех, кто остался на Земле.

Количественное описание замедления неоднократно проверялось экспериментально (впервые в 1938 году), канадские физики предприняли еще одну попытку. Они использовали известную методику анализа спектра возбужденных ионов, движущихся с околосветовой скоростью. Если для движущегося иона время, с нашей точки зрения, идет заметно медленнее, это отражается на частоте, с которой он излучает электромагнитные волны (свет). Измерив изменение частоты (приводящее и к изменению цвета), можно измерить замедление времени.

Используя ускоритель частиц в институте Макса Планка в Гейдельберге (Германия), ученые разогнали ионы лития до скорости, составляющей шесть процентов от скорости света, привели их при помощи лазера в возбужденное состояние и измерили частоту излучения. Погрешность результатов по сравнению с тем, что предсказывает СТО, составляет менее одной десятимиллионной. По утверждениям исследователей, их эксперимент в десять раз точнее лучших из проводившихся ранее и в сто тысяч раз точнее эксперимента 1938 года.

По материалам lenta.ru
Смотрите также: Hi-Tech, Интернет, Hardware, SoftNews
 
Читайте также:

Скончался основоположник космической медицины академик Олег Газенко

На МКС закончили установку модуля "Хармони"

Узбекистанские ученые сообщили о создании мощного солнечного лазера

В запасниках лондонского музея нашли новый вид динозавров

Астрономы предложили новые объяснения аномально яркой сверхновой

Ракета "Протон-М" вывела спутник Sirius-4 на орбиту Земли


В американских скафандрах запахло дымом

В ЦЕРНе установлен детектор для исследования антивещества

Группа бывших летчиков обратилась к правительству США с просьбой возобновить исследования НЛО

Физики создали плазменную антенну

Археологи нашли следы древнего шоколадного пива

ООН призвала все страны определиться с законами о клонировании человека

Геофизики создали алмазные камеры для моделирования мантии Земли

Россия будет исследовать Луну вместе с Индией

Китай успешно запустил спутник Земли

НАСА передвинуло шаттл "Атлантис" на пусковую площадку



Рассылки:
  Новости-почтой
  TV-Программа
  Гороскопы
  Job Offers
  Концерты
  Coupons
  Discounts
  Иммиграция
  Business News
  Анекдоты
Многое другое...

News Central Home | News Central Resources | Portal News Resources | Help | Login
Russian America Top Holostyak.com Рейтинг@Mail.ru © 2026 RussianAMERICA Holding
All Rights Reserved • Contact